回答(1)
Danyi2024-07-16 16:04:44
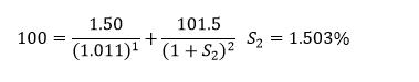
同学你好,
这里就是正常解一元二次方程,把能计算的都计算出来。等式右边不包含未知数的可以算出=1.48,然后移到左边就是100-1.48=101.5/(1+S2)^2
98.52=101.5/(1+S2)^2
(1+S2)^2=101.5/98.52
(1+S2)^2=1.03025
然后开方减一
- 评论(0)
- 追问(0)
评论
0/1000
追答
0/1000
+上传图片

