天堂之歌

听歌而来,送我踏青云〜

您现在的坐在位置:首页>智汇问答>CFA二级

1000013566882024-05-09 22:22:40

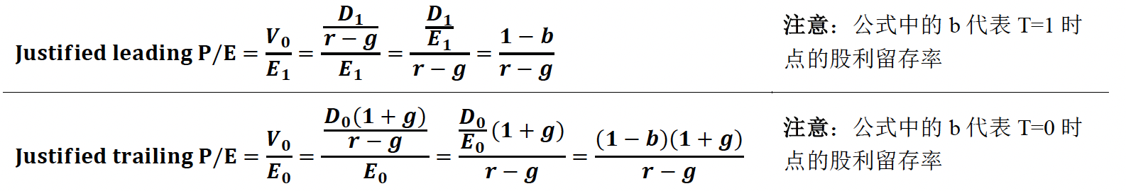
Trailing pe和leading pe公式太难记了,有什么简单的记忆方法?或者给个推导吧,谢谢

查看试题

回答(1)

Wolf2024-05-10 10:52:15

同学你好,
Leading:表示用𝐸 1作为分母;trailing表示用𝐸 0作为分母

推到公式如下图

  • 评论(0
  • 追问(0
评论

精品推荐

评论

0/1000

追答

0/1000

+上传图片

    400-700-9596
    (每日9:00-21:00免长途费 )

    ©2026金程网校保留所有权利

    X

    注册金程网校

    验证码

    同意金程的《用户协议》
    直接登录:

    已有账号登录