回答(1)
爱吃草莓的葡萄2024-04-25 13:32:28
同学你好。假如当前股利为1元,要求回报率为8%,按照本题表格给到的增长率,在H-model下,g_S=5%,g_L=3%,t=4,
因此V0=[1*1.03/(8%-3%)]+[1*(5%-3%)*4*1/2]/(8%-3%)
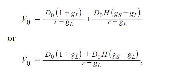
下图是H模型的公式
- 评论(0)
- 追问(6)
- 追问
-
逐渐递减的3.5,然后在以3增长‘这个t是多少,gl是多少
- 追答
-
同学你好。g_L上面回复写清楚了是3%呀。t为4。
也就是说,从2020年到2024年是线性的从5%下降到3%,之后再以3%永续增长,因此t为4,。公式中H就是t/2。
- 追问
-
21-23年线性下降到3.5%,04年开始以3%永续增长,这种Hmodel 怎么算?
- 追答
-
同学你好。这与本题是一个意思,不就是表格中的两组数据翻译成文字。从21年线性下降到23年的3.5%,24年开始以3%永续增长,也就是每年以0.5%下降。H模型分为两段,第一段线性下降,第二段为水平线,这两条线是相连的。
- 追问
-
23与24之间不能咋连呢?
3.5-3 T为1年的H
两个H model,21-23一个斜线,23-24一个斜线,24以后水平线? 这样理解嘛?
- 追答
-
同学你好。如果实在理解不了,咱们还有一个方法。就是拿直尺画一个标准的坐标轴,横轴是时间,纵轴是增长率,将每一年的增长率画在图中,看能不能用一条直线连起来。
你说的与题目说的本就是一回事,只不过描述的不一样而已。
根据题目表格的意思,每一年的增长率分为别,2020为5%,2021为4.5%,2022为4%,2023为3.5%,2024为3%,之后以3%永续增长。然而这与同学你说的不就是一个意思吗,怎么出现两个斜线。即便像同学说的是两个斜线,那这两个斜线的斜率是不是一样的,是一样的那不就是一根直线吗。如果斜率也不会,那还可以看相邻两年增长率之差,都是固定的0.5%,说明它就是一根斜线呀。
评论
0/1000
追答
0/1000
+上传图片


