回答(1)
爱吃草莓的葡萄2024-04-25 13:16:55
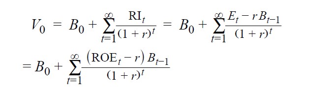
同学你好。可以呀。首先资产乘上40%得到的是equity。
RI_t=Earning_t - r*E_T-1,这个公式变个形,即右边整体除E,然后作为整体再乘上E,即RI=(ROE-r)*E也就是同学说的式子。
这两个方式计算的公式如下所示:
- 评论(0)
- 追问(0)
评论
0/1000
追答
0/1000
+上传图片

