Z2024-03-28 22:53:32
delta到底是受什么的因素影响 而变化?
回答(1)
轻语2024-03-29 11:04:03
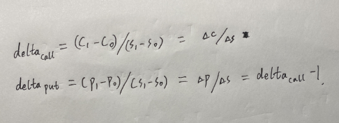
同学,你好。delta受期权价格和股票价格变动的影响,看涨期权的delta=(C1-C0)/(S1-S0).
看下图。
- 评论(0)
- 追问(0)
评论
0/1000
追答
0/1000
+上传图片


