Z2024-03-28 22:51:23
1、这个动态对冲,基础课件哪里讲到了? 2、题干中,3个月的期权需要动态对冲,那是不是理解为1个月,6个月 或者其他期限都需要动态对冲? 3、这个delta到底是什么含义?
回答(1)
轻语2024-03-29 10:55:51
同学,你好。动态对冲的意思是,当股价发生变动时,期权的delta也发生了变动,也就是说对冲比例(1/delta)发生了变化。因此,当股价变动时,为了使股票头寸和期权头寸的价值变动相同,方向相反,买入或卖出期权的数量也要跟着变化,这是动态对冲。
如果用1个月或6个月到期的期权来做对冲,也需要进行动态对冲。
delta的含义是,股价变动1单位,期权价值变动多少。
---------------------
投资更加优秀的自己👍 ~如果满意答疑可【采纳】,仍有疑问可【追问】,您的声音是我们前进的源动力,祝您生活与学习愉快!~
- 评论(0)
- 追问(6)
- 追问
-
那么delta=期权价格动幅度/股票价格变动幅度,这个公式是否成立?
- 追答
-
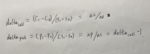
同学,你好。成立。delta = (C1 - C0)/(S1 - S0)
- 追问
-
那这个题目为啥是乘以 1/delta 呢?按理应该是乘以delta吧
- 追答
-
delta 的意思是,股票价值变动1块钱,期权价值变动多少,比如变动0.1元。要完全对冲股票变动风险,就得10倍的期权数量,所以是1/delta.
- 追问
-
delta 的意思是,股票价值变动1块钱,期权价值变动多少,那这个不就是一阶导的意思嘛?
- 追答
-
不是简单的一阶导,影响期权价格的因素还包括波动率,到期时间,无风险利率等。
评论
0/1000
追答
0/1000
+上传图片



