回答(1)
Evian, CFA2024-03-26 16:09:36
ヾ(◍°∇°◍)ノ゙你好同学,
是哪一个小题呀
- 评论(0)
- 追问(2)
- 追问
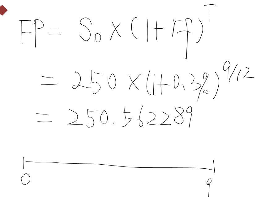
-
最后一小问。
- 追答
-
只有9月,没有3月和6月这两个信息
评论
0/1000
追答
0/1000
+上传图片



