回答(1)
Huang2024-03-19 17:42:16
同学你好
这个知识点在Autocorrelation里面讲过,具体看下面截图。
-----------------------------------
如果满意答疑可【采纳】,仍有疑问可【追问】
- 评论(0)
- 追问(2)
- 追问
-
为什么这题是1/T^0.5,而不是图中的公式,这里还是没有明白
- 追答
-
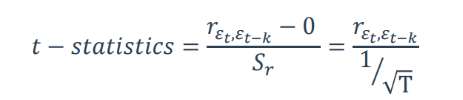
这个公式是计算t - statistics of the autocorrelations
公式的分母部分就是standard error for each of the autocorrelations
t - statistics 的显著性检验就是t - statistics =(估计值-0)/标准误。
所以对于检验 autocorrelations来说,这个公式的分母就是autocorrelations的标准误。
评论
0/1000
追答
0/1000
+上传图片


