阿同学2024-02-29 23:17:17
请问residual income中涉及的persistence factor是什么,怎么运用?
回答(1)
最佳
爱吃草莓的葡萄2024-03-01 09:46:37
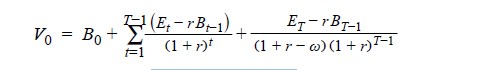
同学你好。在剩余收益估价模型中,Persistence Factor是持久性因子。考虑持久性因子后的剩余收益估值公式如下:
举例来说,如果一个公司的持久性因子是0.8,这意味着过去的剩余收益在未来有80%的可能性会继续存在。因此,分析师在预测未来的剩余收益时,会考虑到这个因素,并据此来调整他们对未来收益的预期。
- 评论(0)
- 追问(2)
- 追问
-
谢谢,公式我还看不懂。可以举一个例子,代入公式演示吗?
- 追答
-
同学你好。如下图例子所示。
评论
0/1000
追答
0/1000
+上传图片


