150****43412024-02-18 23:31:57
老师:这里说判断(2%-1.3%)还是(1.3%-2%)时说到可以通过看赚了还是亏了来判断。在本题中,为receive-fixed方,收固定方,题干说到两年前可以收到2%,现在新利率下只能收到1.3%,所以是亏损状态,所以V应该是负,所以应该是(1.3%-2%),这样不对么?
回答(1)
最佳
Evian, CFA2024-02-20 14:05:47
ヾ(◍°∇°◍)ノ゙你好同学,
不对哦,考试的时候请参考以下思路判断收到(+)支付(-)
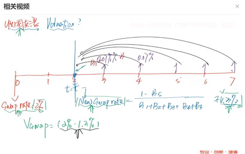
例如以下截图,原有合约是收固定(支浮动),重新签订的合约是支固定(收浮动)
两个合约的浮动利率端完全抵消,于是只剩下固定端
固定端现金流是收原有合约固定利率(+2%),支付新合约固定利率(-1.3%)
---------------------
投资更加优秀的自己👍 ~如果满意答疑可【采纳】,仍有疑问可【追问】,您的声音是我们前进的源动力,祝您生活与学习愉快!~
- 评论(0)
- 追问(2)
- 追问
-
老师,这题只有Q2的题干中明确说到原有合约是收固定支浮动,利率为2%,并没有说新合约(利率为1.3%)是收固定还是支固定呀,如何判断的呢?
- 追答
-
新合约是假的,我们虚拟的,目的是为了对原有合约估值
估值的思路是:浮动端全部抵销,剩余固定端轧差
如下截图
只有新旧合约它们完全相反,浮动端才可以完全抵销,固定端轧差
评论
0/1000
追答
0/1000
+上传图片





