180****89392024-01-03 21:47:54
老师好,斜率的标准差(sbj)指的是什么?是不是指通过截距和许多个实际值的函数的许多个斜率的标准差?如何计算?谢谢
回答(1)
最佳
爱吃草莓的葡萄2024-01-04 10:36:55
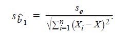
同学你好。斜率的标准误(sbj)是指在回归分析中斜率的估计值的标准差。这个标准误反映了斜率估计值的波动程度,也就是斜率估计值的不确定性。
在回归分析中,斜率的标准误可以通过下图公式计算,在题目中会给到参数的标准误,不需要进行进行计算。
- 评论(0)
- 追问(1)
- 追问
-
公式的上下两部分分别是什么意思?
评论
0/1000
追答
0/1000
+上传图片

