宇同学2023-11-21 08:32:22
这里的b1_CAP 是所有b1计算出来的平均值?
回答(1)
爱吃草莓的葡萄2023-11-22 09:24:58
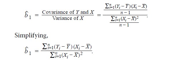
同学你好。线性回归中斜率系数是通过最小二乘法计算出来的,斜率b1=β1=cov(x1,y)/variance(x1)。如下图
- 评论(0)
- 追问(0)
评论
0/1000
追答
0/1000
+上传图片


