刷同学2023-11-09 14:04:37
为什么第一题可以直接把OAS加到节点上?我记得是不能直接加啊,理解的不对吗?
回答(2)
最佳
Danyi2023-11-10 10:47:16
同学你好,
计算的时候,OAS就是直接加在节点利率上的,见下图讲义
- 评论(0)
- 追问(4)
- 追问
-
但节点是forward rate啊,应该是在spot rate基础上加OAS,然后在重新构建二叉树啊,我哪里记混了吗?
- 追答
-
OAS就是加在节点上进行计算的,没有你刚刚理解的这种方式。
你理解加在基准利率上的应该是delta y,那是构建计算effective duration and convexity的
- 追问
-
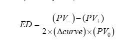
您说得对~就是计算ED的时候,那为什么会形成这种区别呢?
- 追答
-
这是由于ED的定义式导致的,ED公式本质就是利率曲线上升下降相同的百分比(也就是delta curve的概念),是变动在利率曲线,也就是benchmark curve上的,因此在二叉树的构建上,相对应也是变在基准利率上。
而OAS是spread的一种,他并不是属于benchmark curve的变动,所以就是最后加在各时点上。
Sophiazzzzzz2026-01-07 10:19:27
老师我在书上找到这句话,就是计算ed和ec的过程,就是在每个节点上加oas并不是在spot rate上, 该怎么理解
- 评论(0)
- 追问(0)
评论
0/1000
追答
0/1000
+上传图片




Sophiazzzzzz
