xx2023-10-26 09:27:32
为啥是c呢?股价被高估应该卖标的资产呀,write call就是assume价格会下跌赚premium?
回答(1)
Evian, CFA2023-10-29 23:46:43
ヾ(◍°∇°◍)ノ゙你好同学,
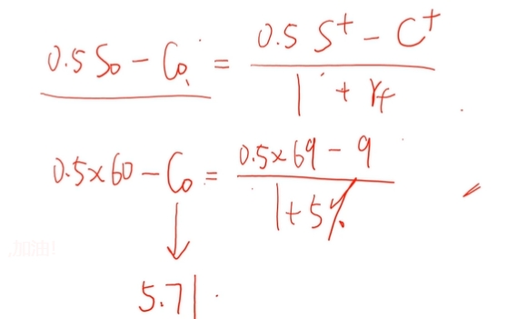
由计算可知无套利下的合理期权价格是5.71
二市场价格是6.9,它大于5.71,于是推出市场6.9高估了5.71,预计市场价格6.9会回归价值5.71
低买高卖,所示卖出这个高的6.9价格的期权,然后买入股票
---------------------
投资更加优秀的自己👍 ~如果满意答疑可【采纳】,仍有疑问可【追问】,您的声音是我们前进的源动力,祝您生活与学习愉快!~
- 评论(0)
- 追问(0)
评论
0/1000
追答
0/1000
+上传图片




