joe2023-08-24 11:52:15
发股票股利 对 P/E 有哪些影响
回答(1)
开开2023-08-25 14:36:07
同学你好,
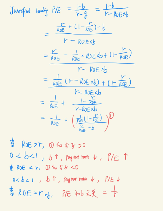
这个要分情况讨论。因为1-b会影响分配的股利,payout ratio高会使得投资者获得更多的现金流,但也会降低增长率。具体的推导如图。当ROE>r时,b增加P/E增加。因为企业的盈利能力较好,把收益多留在这样的公司进行再投资会增加估值;ROE<r,b增加P/E下降,企业的盈利能力较差,留存收益高在这样的公司会降低估值,因为投资回报率低,还不如把收益多分配给股东。
如果答疑对你有帮助,【请采纳】哟~。加油,祝你顺利通过考试~
- 评论(0)
- 追问(0)
评论
0/1000
追答
0/1000
+上传图片

