凡同学2023-08-13 10:20:02
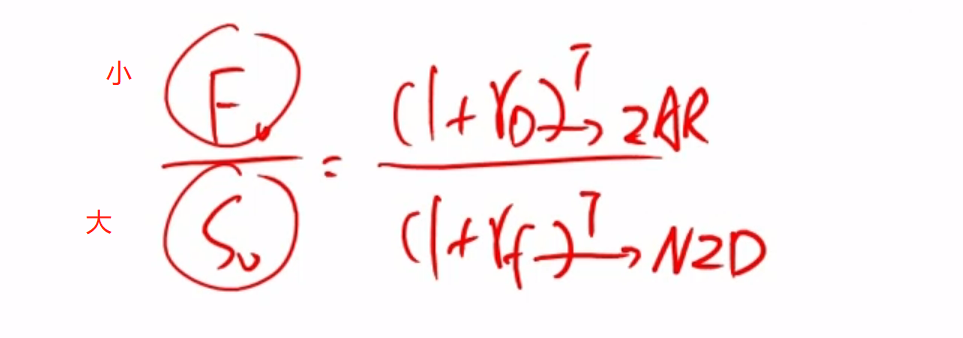
请问这道题可否用CIRP去求解,F小于了S,那么rx,也就是ZAR币的利率应该更小才对,为什么答案是更大?
回答(1)
Evian, CFA2023-08-13 23:45:57
ヾ(◍°∇°◍)ノ゙你好同学,
如下截图1,题目默认了公式成立,其中F大于S,若要等式成立,分母NZD的利率应该更高higher
登录金程网校可查看题目及解析:
https://www.gfedu.cn/home/#/exam/single/q104838/
---------------------
投资更加优秀的自己👍 ~如果满意回复可【采纳】,仍有疑问可【追问】,您的声音是我们前进的源动力,祝您生活与学习愉快!~
- 评论(0)
- 追问(0)
评论
0/1000
追答
0/1000
+上传图片




