努同学2023-08-09 21:14:47
如图这一串公式写完之后求的是是什么?是欧元还是瑞朗?
回答(1)
Evian, CFA2023-08-12 08:50:10
ヾ(◍°∇°◍)ノ゙你好同学,
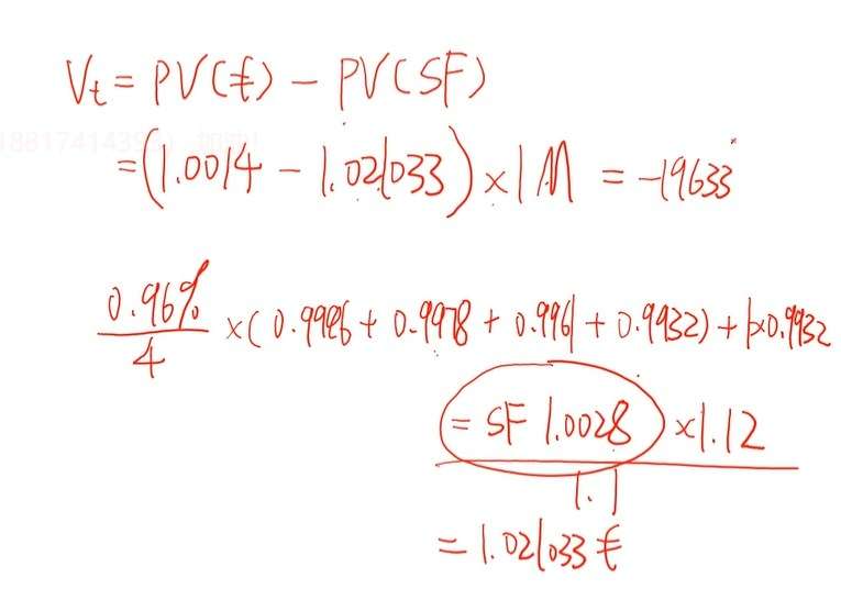
求“欧元”
为了节省脑力不背公式,我的分析思路是:
期初欧元按照1单位本金计算,瑞郎按照1.12单位本金计算,这个比例关系是0时间点汇率定的
以上截图是0时间点之后的60天这个时间点估值
截图中的1.0028是瑞郎按照按照1单位本金计算的,还需要扩大1.12倍,这才匹配期初情况,此时1.12理解为比例,不要带入欧元和瑞郎进行考虑
接下来除以1.1这个动作才是换汇(从瑞郎换成欧元),它使得1.021033的货币是欧元€
---------------------
投资更加优秀的自己👍 ~如果满意回复可【采纳】,仍有疑问可【追问】,您的声音是我们前进的源动力,祝您生活与学习愉快!~
- 评论(0)
- 追问(1)
- 追答
-
补充:
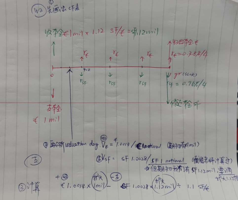
我画了比较详细的图,以下截图2,另外的截图1是老师的求解过程,老师和我的思路一致。
有同学问:这个1.0028的单位是什么 老师说“每一块钱SF的现值” 如果是*1.12 就是期初先 euro 转 sf 然后 期末再 /1.1 就是 sf 转 euro ?
【回复】1.0028的单位是SF。期初按照1.12的汇率要计算SF的本金,期末需要用1.1的汇率将SF的现值从SF转€。
有同学问:我不明白的是 期初 *1.12 就是说期初是euro 转sf 但是 这个1.0028不是已经是sf了么? 因为老师说的1.0028是sf的现值? 为啥还要转? 直接期末/1.11 就好了
【回复】1.12是个比例,是€本金和SF本金的比例关系。这个类似题目给了"€1.0014 per €1 Notional"这类比例关系的信息。
☆关键在于老师和我们求出来的这个“1.0028”的前提条件是:SF的本金是单位1,如果用题目的套路表述,则是:"SF1.0028 per SF1 Notional",基于这点我们期初本金是1.12mil的SF,于是要扩大1.12mil倍数。另外的€本金需要将1.0014扩大1mil倍
我的思路完整的是↓:
求“欧元”
为了节省脑力不背公式,我的分析思路是:
期初欧元按照1单位本金计算,瑞郎按照1.12单位本金计算,这个比例关系是0时间点汇率定的
以上截图是0时间点之后的60天这个时间点估值
截图中的1.0028是瑞郎按照按照1单位本金计算的,还需要扩大1.12倍,这才匹配期初情况,此时1.12理解为比例,不要带入欧元和瑞郎进行考虑
接下来除以1.1这个动作才是换汇(从瑞郎换成欧元),它使得1.021033的货币是欧元€
评论
0/1000
追答
0/1000
+上传图片





