Joe2023-08-09 08:09:49
hii怎么算?比如 Y = b0 + b1X1 + b2X2 + error, n = 30. 希望详细说明一下计算过程,谢谢
回答(1)
爱吃草莓的葡萄2023-08-09 11:47:24
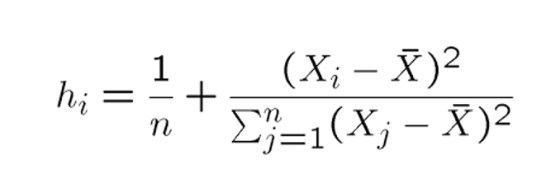
同学你好。hii的计算原版书并没有这一块,推导涉及矩阵运算等较复杂的知识,因此只要求会用经验法则会判断即可。具体计算公式如下,感兴趣的可以阅读相关文献推导公式,这里不做过多要求。
1)ii是(Xi,Yi),表示一个点,写成hi或者H都可以,但是CFA写成hii就得按照记住这种写法。
2)X1,X2分别对应30个X的取值那就分别计算hii。hii表示的是第i个自变量观察值对所有自变量观察值的影响。
3)hii表示的是第i个自变量观察值对所有自变量观察值的影响,怎么跑出来两个X。
4)那就将x转换为统一计量再计算hii,X是自变量,是点的横坐标。同学这种举例没有任何意义,一个横坐标下,一个点是绝对值形式另一个是没有绝对值的百分号形式,不觉得很奇怪吗。
- 评论(0)
- 追问(0)
评论
0/1000
追答
0/1000
+上传图片


