Joe2023-08-03 07:48:13
standard error of Y cap(Sf)是什么?
回答(1)
爱吃草莓的葡萄2023-08-03 13:17:11
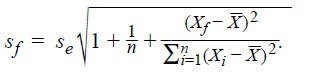
同学你好。是因变量的标准误,公式如下,这个公式不要求计算。
投资更加优秀的自己👍 ~如果满意回复可【采纳】,仍有疑问可【追问】,您的声音是我们前进的源动力,祝您生活与学习愉快
- 评论(1)
- 追问(2)
- 追问
-
字母分别代表什么意思?
- 追答
-
同学你好。Se是估计标准误,n是观察值数量,Xf是自变量预测值,X bar是自变量平均值。Xi是第i个自变量值。
投资更加优秀的自己👍 ~如果满意回复可【采纳】,仍有疑问可【追问】,您的声音是我们前进的源动力,祝您生活与学习愉快
评论
0/1000
追答
0/1000
+上传图片


