Joe2023-07-28 22:33:54
sample correlation = population correlation吗? 我认为相等,因为根据公式,sample correlation分子分母中的n-1约掉了,population correlation 分子分母中的n约掉了
回答(1)
爱吃草莓的葡萄2023-07-31 11:10:23
同学你好。不等,样本相关性是样本统计量,总体相关性是总体参数,这是一级学过的知识,如果样本统计量等于总体参数那就不需要估计了也不需要总体参数这个概念,因为样本统计量就代替了,合二为一。其次根据公式也不能得到相等,样本相关性中分子与分母去掉n-1分母还剩下一个n-1,总体相关性中分子与分母去掉n分母还剩下一个n。
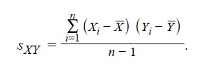
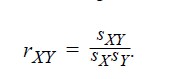
相关公式如下:
投资更加优秀的自己👍 ~如果满意回复可【采纳】,仍有疑问可【追问】,您的声音是我们前进的源动力,祝您生活与学习愉快
- 评论(0)
- 追问(2)
- 追问
-
Sxy = 求和[(Xi - Xbar)(Yi - Ybar)]/n-1,分子有个n-1
Sx = Square root (求和[(Xi - Xbar)^2]/n-1)
Sy = Square root (求和[(Yi - Ybar)^2]/n-1),两者相乘,也有个n-1,所以分子分母的n-1约掉了
同样的,总体的都是n,分子上的是n,分母的是两个根号n,所以也约掉了吧
- 追答
-
同学你好。是的,样本相关性中分子与分母的n-1可以约掉,同样总体相关性中分子与分母的n也可以约掉,老师这里看恍惚了。但是即便可以将n或n-1约掉,但是他们的含义都不一样,以样本方差为例,它是样本点与样本均值之间的差方和,而总体方差总体数据与总体均值之间的差方和。样本数据来源于总体,是总体的一部分,光就这就可以判断这两者不相等,除非样本全覆盖总体(也就是样本数据集等于总体数据集,拿这就没必要抽样估计了,直接计算总体参数)。
投资更加优秀的自己👍 ~如果满意回复可【采纳】,仍有疑问可【追问】,您的声音是我们前进的源动力,祝您生活与学习愉快
评论
0/1000
追答
0/1000
+上传图片



