Joe2023-07-23 10:35:39
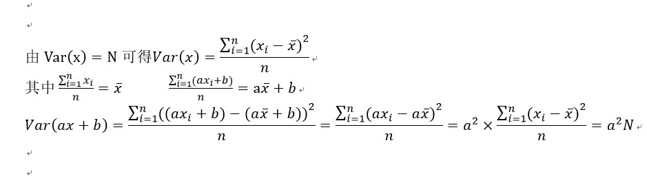
若Var(x)= n,Var(aX + b)等于多少?如何推导?
回答(1)
爱吃草莓的葡萄2023-07-24 17:24:05
同学你好。等于n*a^2.具体推导如下:
投资更加优秀的自己👍 ~如果满意回复可【采纳】,仍有疑问可【追问】,您的声音是我们前进的源动力,祝您生活与学习愉快
- 评论(0)
- 追问(0)
评论
0/1000
追答
0/1000
+上传图片


