刘同学2023-07-02 11:21:06
请问sb1 cap(b1 cap的标准误), 残差的标准误(SEE)分别具体表示什么含义,如何计算,和标准差有什么区别?谢谢
回答(1)
爱吃草莓的葡萄2023-07-03 15:07:17
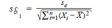
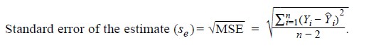
同学你好。前者是斜率系数的标准误,公式如下图1;后者是估计的标准误,公式如图2;标准差与标准误的关系是:样本均值的标准差为标准误,直接说成样本均值标准误。
- 评论(0)
- 追问(0)
评论
0/1000
追答
0/1000
+上传图片



