孙同学2023-02-24 06:55:33
从公式来看,TSS和RSS+SSE,不平方才相等,怎么就直接相等了?比如(7-4)²不等于(7-6)²+(6-4)²,TSS=RSS+SSE是怎么推导出来的?
回答(1)
Essie2023-02-24 13:06:56
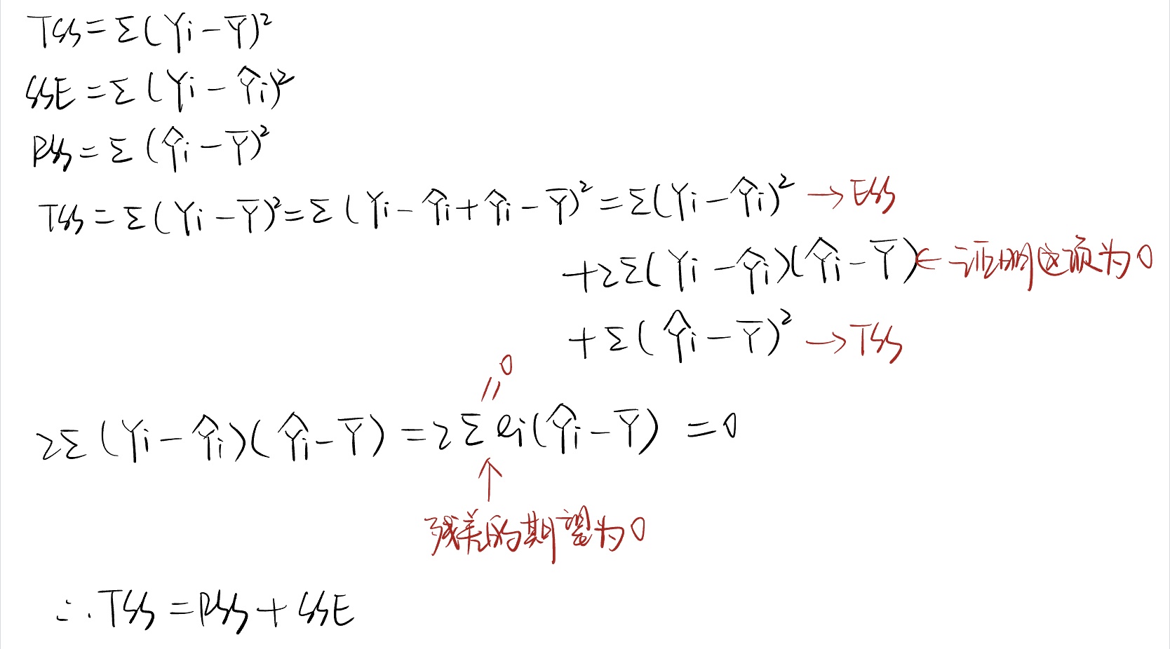
你好,TSS=RSS+SSE的推导公式见下图~
- 评论(0)
- 追问(0)
评论
0/1000
追答
0/1000
+上传图片


