张同学2023-02-20 14:41:47
RMSE是什么,计算公式是什么
回答(1)
Essie2023-02-22 11:00:09
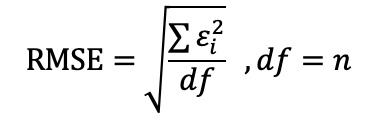
你好,RMSE: root mean square error,中文是均方根误差。
计算公式如下图,用所有残差的平方求和除以自由度,然后开根号。
- 评论(0)
- 追问(0)
评论
0/1000
追答
0/1000
+上传图片

