王同学2023-01-31 03:45:10
标准误的公式是标准差除以根号n。那么MSE变大,意味着模型拟合度不好,为什么会影响标准误呢?标准误公式的分子分母都没有影响呀
回答(1)
Essie2023-01-31 15:18:37
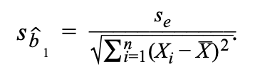
你好,MSE是Mean Square Error,称为均方误差,是指残差平方和的均值,本质是残差的方差。残差的方差越大,说明残差的标准差越大,斜率标准误的公式见下图,分子越大,所以斜率系数的标准误越大。
你说的是标准差除以根号n是样本均值的标准误,两个公式不一样。
换一个角度来说,像你说的模型的拟合程度不好,因此模型回归出来参数质量也是比较差的,所以回归斜率的偏差较大,回归斜率的标准误较大。
如果我的回答有帮助到你的话,请点赞支持一下我们,加油哦;)
- 评论(0)
- 追问(0)
评论
0/1000
追答
0/1000
+上传图片

