庞同学2022-10-31 17:28:24
请问该题目如何计算?
回答(1)
Chris Lan2022-10-31 21:18:57
同学您好
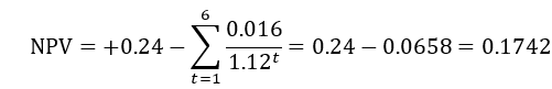
初始投资减少0.24(考虑增量现金流),折旧6年,每年折旧金额减少0.04。根据公式(S-C)(1-T)+TD, TD =0.04×0.4=0.016。
然后基于该现金流模式,计算NPV即可。
- 评论(0)
- 追问(0)
评论
0/1000
追答
0/1000
+上传图片




