圆同学2022-10-30 23:40:14
关于构建最优组合这一块,有一点无法理解,先说一个小前提,便于理解:就是 Sharp ratio的那个坐标图,将它上面的纵坐标截距点换成benchmark,最优 Market portfolio换成 active Portfolio,横坐标换成active risk,那么新坐标图斜率就是IR,纵坐标是active return……既然这里的新组合是投资于benchmark和active portfolio,那么这个新组合必然落在 Benchmark和 active portfolio的直线上,此时的最优组合,若以 Sharpe ratio最大为标准,那么就看benchmark和active portfolio C的sharp ratio更大一点,那100%甚至short另一方,500%甚至更多投资于SR更大的,就能实现新组合的SR最大。若与active return为标准,想象一下那条直线向右无穷远处配置,也就是 Short比如说1百万亿的benchmark,投资于active portfolio,此时active risk无限大, Active return也是无穷大。至于书上说的新组合的 sharp ratio平方等于benchmark的SR平方+IR平方,与上述两种情形都搭不上,不知道其所提及的最优组合,是以什么为标准来评判最优,整体感觉毫无道理,更像是胡连八扯。请问我的理解,是错在哪里??
回答(1)
开开2022-11-01 09:57:42
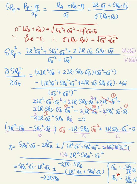
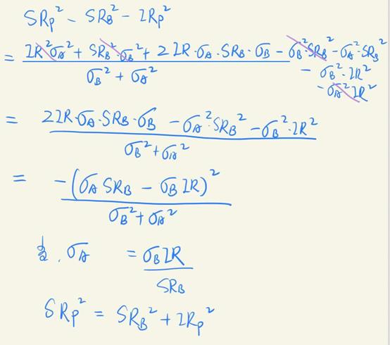
同学你好,构建最优组合是这样的。现在允许主动组合和基准组合进行组合,那么这个combined组合最高可以达sharpe ratio^2 =SRB^2+IR^2。
具体的推导见下图。先求出SR最大时σA*的值,然后可以证明当SR最大时,SR^2=SR_B^2+IR_P^2成立。
因此,为了使得combined组合的SR最大,我们要挑选IR最大的主动组合,然后combined组合的主动权重必须是最优主动权重,主动风险必须是最优主动风险,这在推导里面都是体现出来的。
因此,以最优主动权重进行组合的combined组合就是最优组合。
【点赞】哟~。加油,祝你顺利通过考试~
- 评论(0)
- 追问(0)
评论
0/1000
追答
0/1000
+上传图片


