博同学2022-10-12 15:19:27
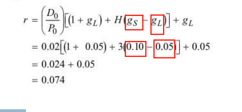
您好,请问Equity原版书课后题R23的第12题,可能我没理解题目,为什么答案中gs和gL都是5%,为什么不用10%呢?
回答(1)
开开2022-10-13 15:26:44
同学你好,答案中是gs=10%,gl=5%,如下图这样对应的哈。
【点赞】哟~。加油,祝你顺利通过考试~
- 评论(1)
- 追问(0)
评论
0/1000
追答
0/1000
+上传图片


