sunny2022-10-12 14:19:39
不明白这里写的第1、2是怎么得来的呢?
回答(1)
开开2022-10-13 16:36:39
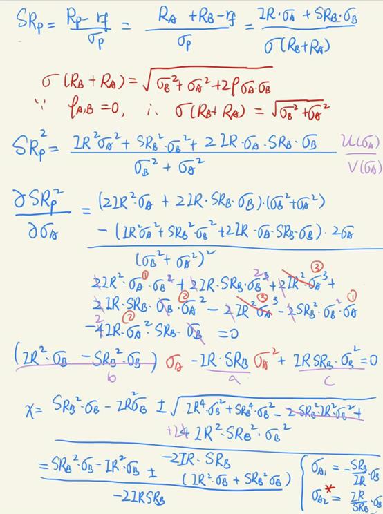
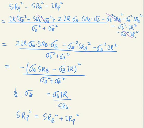
同学你好,具体的推导见下图。先求出SR最大时σA*的值,然后可以证明当SR最大时,SR^2=SR_B^2+IR_P^2成立。
【点赞】哟~。加油,祝你顺利通过考试~
- 评论(0)
- 追问(3)
- 追问
-
老师,请问SR^2=SRb^2+IR^2中,IR用的是新组合中主动管理基金的IR,还是新组合的IR?在讲义中的例题,用的是新组合的IR0.2来算新组合的SR,为什么不能用fund2的呢?
- 追问
-
另外可否请老师再说一下construct optimal portfolio的过程或逻辑?这块感觉云里雾里
- 追答
-
1、这里的IR是主动组合基金的IR。但因为combined组合就是主动基金和benchmark的混合,因此只是主动程度不同,是不影响IR的,因此主动组合的IR和combined组合的IR是一样的。
讲义中的例题,这里是引入了一个新的Fund III,然后让fund III和benchmark进行组合,那么整个混合组合最高可以达到的sharpe ratio^2 =SRB^2+(IR_fund III)^2
fund III是一个另外的主动管理的组合,和fund II是并列的,因为例题中是fund III要构成最优组合,所以是用fund III的IR。
2、构建最优组合是这样的。现在允许主动组合和基准组合进行组合,那么这个combined组合最高可以达sharpe ratio^2 =SRB^2+IR^2。
因此,为了使得combined组合的SR最大,首先我们要挑选IR最大的主动组合,然后combined组合的主动权重必须是最优主动权重,主动风险必须是最优主动风险,这在推导里面都是体现出来的。
因此,以最优主动权重进行组合的combined组合就是最优组合。
评论
0/1000
追答
0/1000
+上传图片



