tina2022-10-06 23:49:45
为何加入第三个变量的相关性弱,就会导致adjusted r ^2变小?
回答(1)
Essie2022-10-08 09:36:48
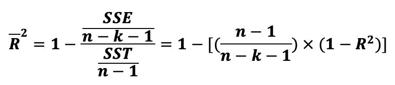
你好,这要从R方说起。随着自变量个数n的增加,R方是一定会增加的,因为R方衡量的是所有自变量对因变量的解释力度,即使加入的自变量不显著,不能有效的解释因变量,但只要能解释一丝丝,都会使R方增加。所以这个指标在多元回归中衡量自变量对因变量的解释力度没那么好(因为质量差的自变量,也会引起R方整体的上升)。
我们需要明确模型的解释力度上升,究竟是新加入的自变量所带来的显著影响,还是说新加入的自变量带来的微弱影响。因此引入Adjusted R方,即将R^2=1-SSE/SST,分子和分母都除以各自的自由度,即得到调整后的R方。从下图的公式中可以看出,只要k大于等于1,那么R方一定大于调整后的R方。所以如果增加一个自变量,且这个自变量本来对模型的解释力度不高,多了一个自由度的调整,新增变量带来的边际贡献小于自由度带来的边际惩罚,那么adjusted R方就会下降。总结一下就是:k上升,对因变量的解释力度显著,adjusted R方上升;若解释力度微弱,adjusted R方下降。
- 评论(0)
- 追问(0)
评论
0/1000
追答
0/1000
+上传图片


