RL2022-09-27 11:05:01
最后一句话能演算一下吗,看着不是很明白
回答(1)
Essie2022-09-27 16:17:31
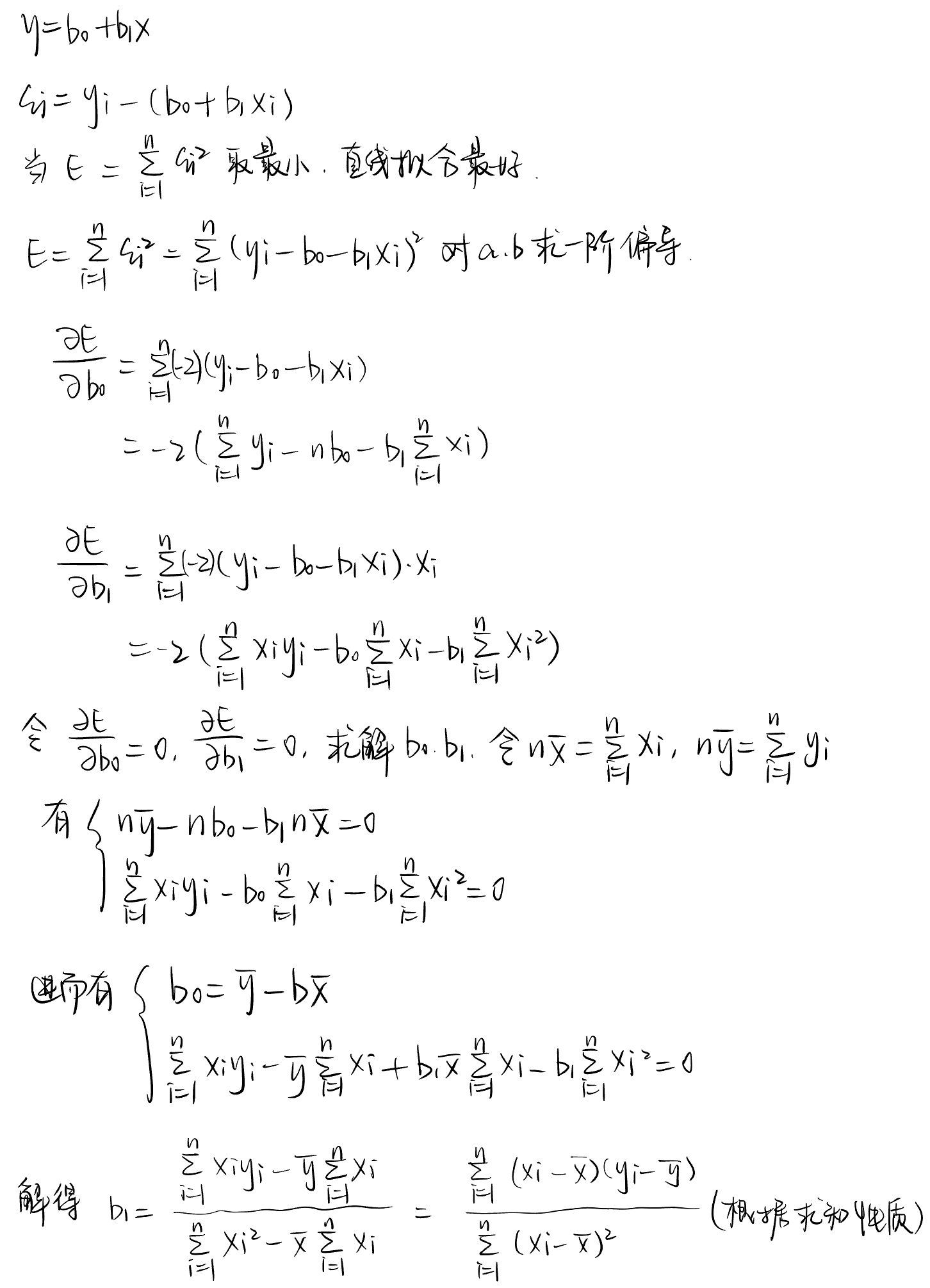
你好,最小二乘法的本质就是最小化残差的平方和,通过对下图中第四行的式子求导得到b0和b1,从而构建出回归方程。
- 评论(0)
- 追问(0)
评论
0/1000
追答
0/1000
+上传图片


