RL2022-09-26 18:20:57
这公式怎么来的?为什么解释力度开根号会与相关系数搭上关系?
回答(1)
Essie2022-09-27 15:10:02
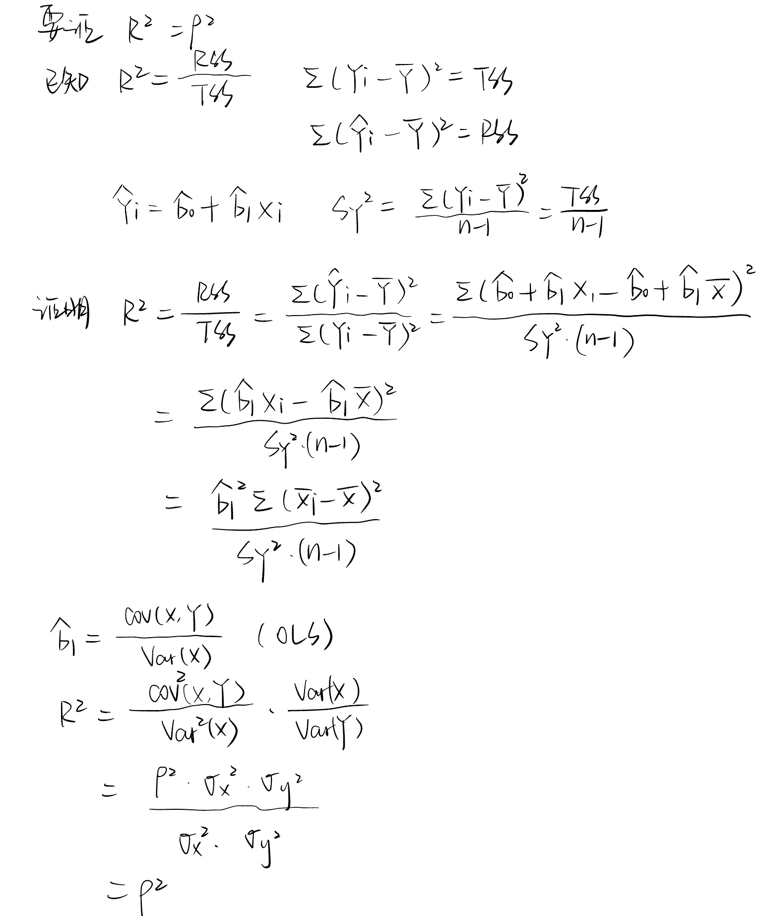
你好,R squared可以衡量自变量对因变量的解释力度,在单元回归中,它的值开根号,等于相关系数的数值。具体相关系数的方向和斜率b1的方向一致。
两者的关系是可以根据公式推导的,见下图,考试中掌握结论即可。
- 评论(0)
- 追问(0)
评论
0/1000
追答
0/1000
+上传图片


