胡同学2022-09-24 12:14:20
PE为什么和股利支付率正相关呢?股利支付率虽然在分子但是也会影响分母,支付率越大,留存率越小,g越小,PE下降。另外从经济意义上来看,长期保持高分红的企业都是价值型的,市盈率都是很低的,比如格力、三一重工这些。PE应该主要反映成长性吧,钱都分出去了,成长性应该低才对吧?
回答(1)
最佳
开开2022-09-26 10:36:01
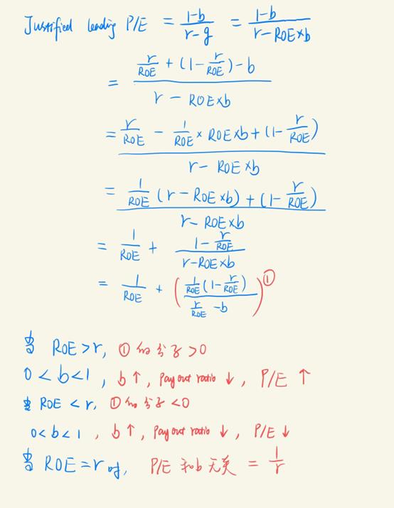
同学你好,这个要分情况讨论。因为1-b会影响分配的股利,payout ratio高会使得投资者获得更多的现金流,但也会降低增长率。
具体的推导如图。当ROE>r时,b增加P/E增加。因为企业的盈利能力较好,把收益多留在这样的公司进行再投资会增加估值;
ROE<r,b增加P/E下降,企业的盈利能力较差,留存收益高在这样的公司会降低估值,因为投资回报率低,还不如把收益多分配给股东。
我查阅了博迪的《投资学》,他的书中也有相似的表述。
所以,如果是成长型公司,ROE较高的情况下,确实股利支付率低PE高。
【点赞】哟~。加油,祝你顺利通过考试~
- 评论(0)
- 追问(0)
评论
0/1000
追答
0/1000
+上传图片

