赵同学2022-05-16 15:37:50
R29 option free valuation 1. 第1题 怎么看这三个市场货币和时间是可以直接拿出来比大小、算套利的? 2. 第2题 我没太明白这道题问法,所以不会求,您能给我讲讲看到这类题思考过程,如何处理?3. 第5题 B和A 如何想?4. 第8题 麻烦您借着这道题帮我去区分下YTM和Spot rate 相同和异同点吧?我做这道题,总会把YTM直接当做spot rate 折线来求价格?5. 第12题 收益率和价格您能帮我区分下么?6. 第13题 为什么可以直接拿102 /(1+2.8853%)?7. 第15题,在考什么知识点?8. 第16题 int rate tree 构成上面所有的利率都是远期的对么?
回答(1)
Essie2022-05-16 17:05:11
你好,
1.同一种债券以三种不同的价格,在三个市场进行销售,因此存在套利机会,即从价格最低的交易所购买债券,然后立即在价格最高的交易所出售。因此,投资者将通过在Frankfurt交易所(最低价格为103.7565欧元)购买债券,并在Eurex交易所(最高价格为103.7956欧元)出售债券,以产生0.0391欧元的无风险利润。
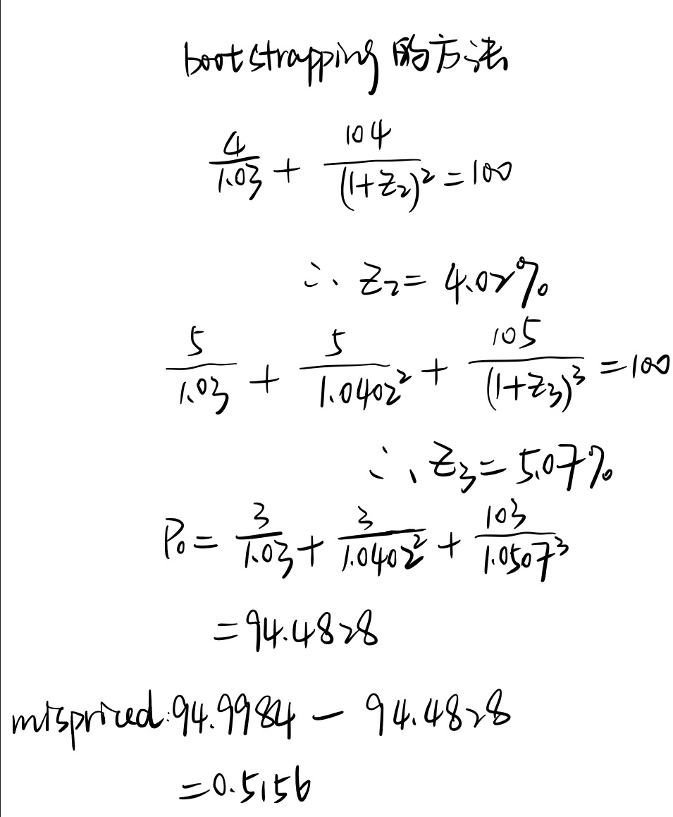
2.根据题目信息,通过bootstrapping的方法,用Par rate计算Spot rate。Par rate1=Spot rate1,Spot rate2计算如下:
1.5/(1+1.25%)+101.5/(1+z2)^2=100,z2=1.5019%。同理1.7/(1+1.25%)+1.7/(1+1.5019%)^2+101.7/(1+z3)^3=100,可计算出z3=1.7049%。
现需要计算Coupon rate=3%债券价格,因此3/(1+1.25%)+3/(1+1.5019%)^2+103/(1+1.7049%)^3=103.7815
计算出价格和NYSE交易所相近,因此选C。
3.利率二叉树是根据远期利益以及波动率假设推导出来的,得到的这个利率二叉树需要经过不断的校准,使得通过利率二叉树模型计算出的价格等于市场价格,校准的好处是确保模型可以对含权债券估值。所以A选项是正确的。
B 不正确,校准不能识别定价错误的基准债券。因为在对利率二叉树进行校正的时候,是认为基准债券的市场价值都是公允的,且等于通过二叉树计算的价值。
4.这道题目考查的还是boostrapping的方法,和Q2一样,通过par rate求解spot rate,然后通过spot rate去求债券的价格,具体操作步骤见下图。spot rate是即期利率,一年期spot rate是一次性投资一年的回报率,两年期spot rate是一次性投资两年每年的回报率。YTM是到期收益率,在某种程度上可以看作是一系列即期利率的均值,且会更接近到期日那笔现金流对应的即期利率。
- 评论(0)
- 追问(9)
- 追答
-
5.表格2中,给出了纽约、香港、孟买的五年期2%Coupon rate YTM,分别是1.9%、2.3%、2%。我们知道,YTM小于Coupon rate,债券溢价发行;YTM大于Coupon rate,债券折价发行;YTM等于Coupon rate,债券平价发行。因此YTM为2.3%的香港债券更容易被低估,YTM为1.9%的纽约债券更容易被高估,应买香港债券,卖纽约债券。
6.基于表格3和4,题目要求计算2.8853%节点债券价值。债券C为2年期债券,只会用到Time0和Time1时期的利率二叉树,Time2时期的利率二叉树是不需要的。利用利率二叉树计算2.8853%节点债券价值等于(100+2.5)/(1+2.8853%)=99.6255。
7.本题考查利率二叉树的构建。
表述1,构建利率二叉树的唯一要求是当前基准利率和一个关于利率波动率的假设。错误,遗漏了利率上升和下降概率相等的假设,波动率恒定的假设等。并且不是唯一要求。
表述2,利率二叉树中的潜在利率波动率可以使用历史利率波动率,或利率衍生工具中观察到的市场价格,对波动率进行估计。正确。
表述3,波动率相对较高情况下的利率二叉树得出债券价值将不同于使用当前即期利率对债券现金流进行折现计算得出的价值。错误,如果两种计算方法结果不一致,那么将会产生套利机会。
8.二叉树上的点都是根据远期利率和波动率推导出来的。
- 追问
-
第1、2、8 题 麻烦重新答,需要您重新看下我的困惑点么,就着我的问题来告诉我如何处理这道题!
- 追问
-
追问5: 第12题 exhibit 2: 给的YTM是折现率是么?另:能给我区分下 债券里的收益率和价格的关系么? 价格涨,收益率高么?但收益率里是不是也还有利息带来的部分?您能给我详细讲下么?
- 追问
-
追问6: 第13题 我不明白这里为什么不需要,相当于我这个债券不到2年我就结束了是么?因为如果从t= 2 往回算,最后两者计算结果会有不同。 题目里也什么都没表明,我怎么理解这个问法,就不需要t=2了?
- 追问
-
追问:7. 第15题 Statement1 它说制定一个利率假设,不就是包含了所有情况么?为什么还说有遗漏?
- 追答
-
128个人认为就是根据你问题的回答,你可以再仔细看一遍,如果还是不懂可以换种方式提问哦。
- 追答
-
追问5——YTM是到期收益率,收益率和价格呈反向关系。因为到期时债券收到的面值都是一样的par,所以买入价格越低,债券的收益率越高。收益率有coupon再投资的部分,是假设coupon以YTM进行再投资。
- 追答
-
追问6——你可以这样去想,1年期债券就不需要利率二叉树,直接用spot rate1来折现就好了(在exhibit 3里也就是有time 0就能算了)。2年期债券用一期二叉树就可以计算完成了(time0和time1),3年期债券用的是两期二叉树计算(time0,time1和time2)。
x期债券用x-1期二叉树就行了
- 追答
-
追问7——因为题目说“the only requirements needed to create a binomial interest rate tree are current benchmark interest rates and an assumption about interest rate volatility.” 关键在于它说the only requirements是基准利率和波动率假设,他们不是唯一要求呀,还有其他要求存在。
评论
0/1000
追答
0/1000
+上传图片




