Gakki2022-04-30 22:43:51
请问R29课后题第8题怎么做啊?
回答(1)
Essie2022-05-01 14:03:08
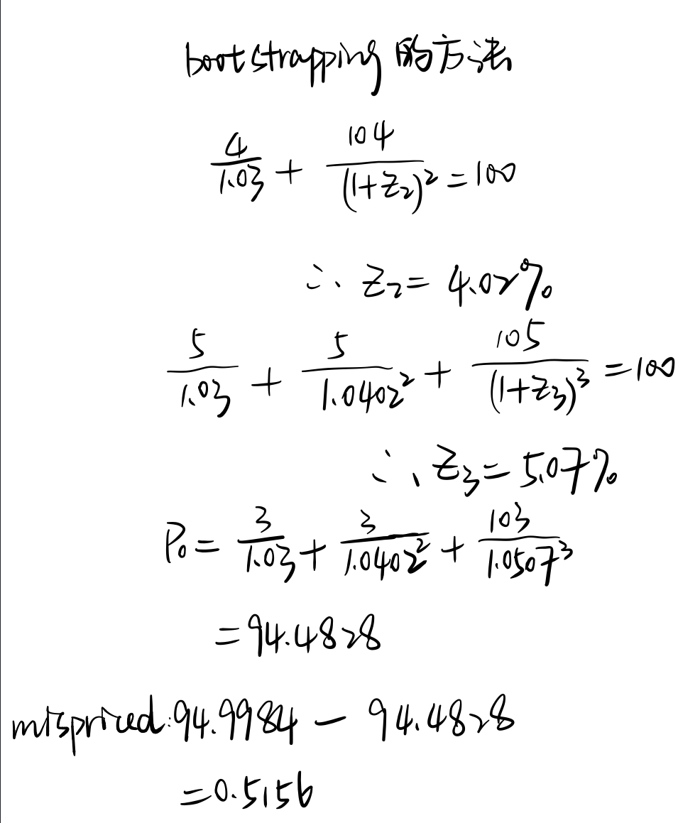
你好,这道题目考查的是boostrapping的方法,通过par rate求解spot rate,然后通过spot rate去求债券的价格,具体操作步骤见下图。
- 评论(0)
- 追问(0)
评论
0/1000
追答
0/1000
+上传图片

