Gakki2022-04-29 15:07:06
R29的课后题第7题怎么做?
回答(1)
Essie2022-04-29 19:26:49
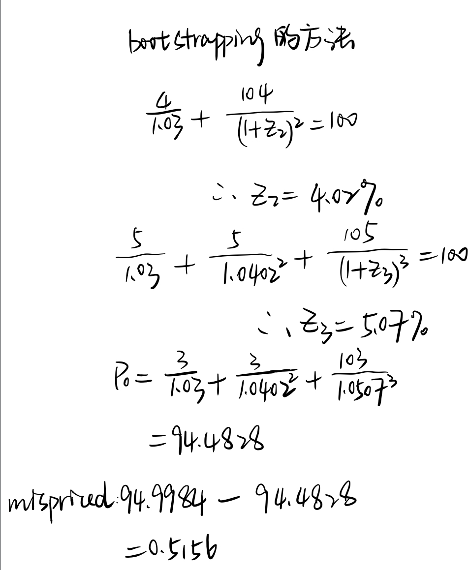
你好,这道题考察的还是bootstrapping的方法,根据表格2给出信息,用Par rate计算Spot rate,见下图。
- 评论(0)
- 追问(4)
- 追问
-
bootstrapping是什么方法呀
- 追答
-
bootstrapping也叫自展法,是通过par rate然后一期一期的去求解spot rate的方法,也就是上面求解z2,z3所使用的方法。
- 追问
-
这个可以用金融计算器算吗
- 追答
-
用金融计算器也没有简便的算法,这能这样一行一行的列式子去计算。
评论
0/1000
追答
0/1000
+上传图片

