陈同学2022-04-04 21:21:54
这个是证明出来的吗?好像搜不到证明的过程。同时SR和IR的分布不一致,感觉分解不出来。
回答(1)
开开2022-04-05 14:31:48
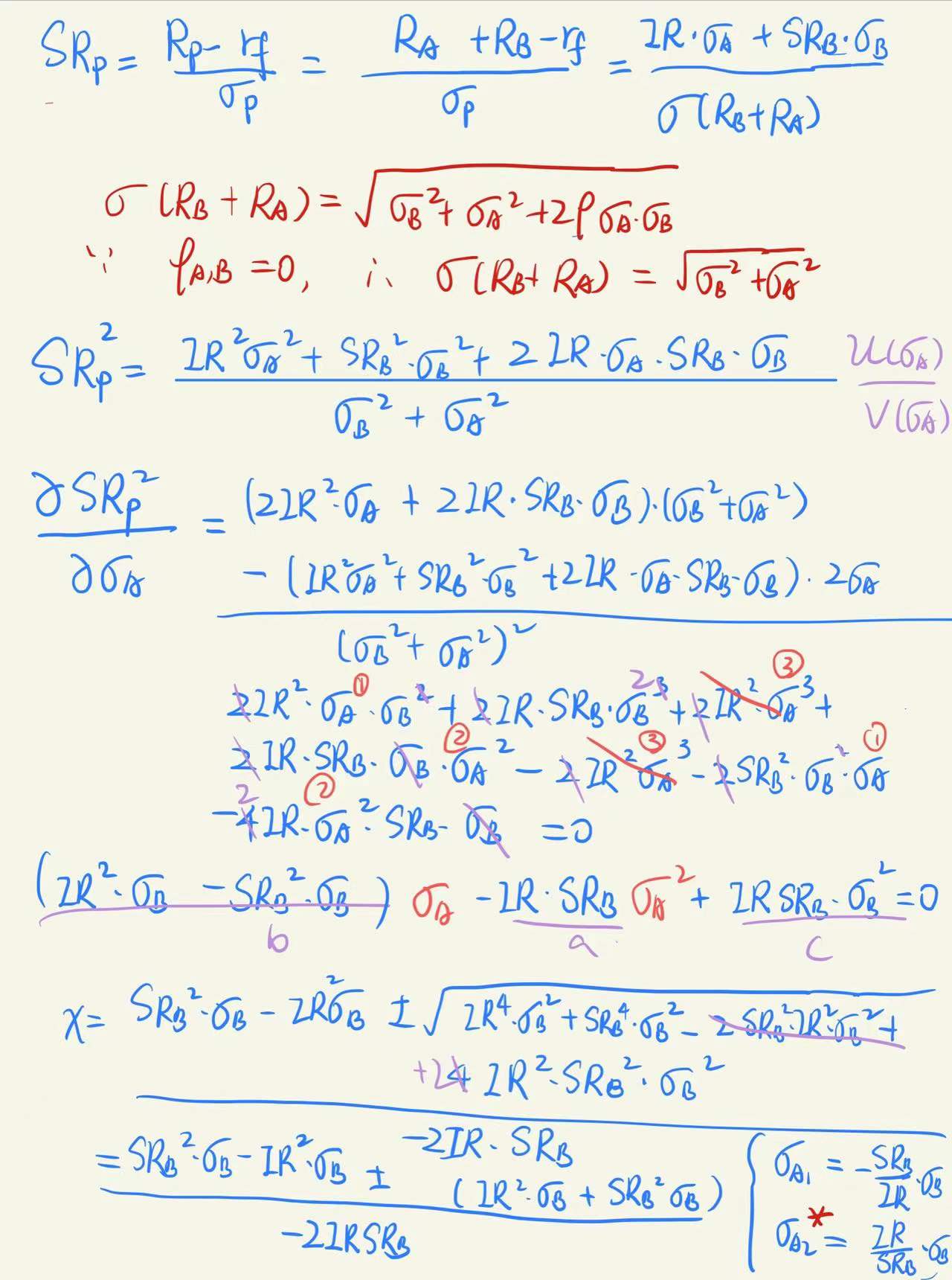
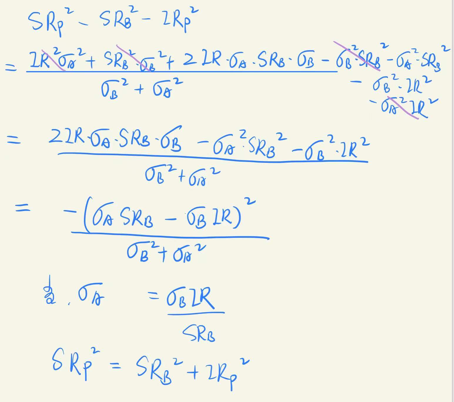
同学你好,这个是推导出来的。具体的推导见下图。先求出SR最大时σA*的值,然后可以证明当SR最大时,SR^2=SR_B^2+IR_P^2成立。
- 评论(0)
- 追问(4)
- 追问
-
rho(A,B) = 0是因为benchmark里没有主动的成分,所以相关系数为0对吧?
- 追答
-
应该说,我们认为主动收益和被动收益是不相关的,因此rho(A,B)为0。
- 追问
-
好的,谢谢!
- 追答
-
不客气~
评论
0/1000
追答
0/1000
+上传图片



