回答(1)
Essie2022-03-26 20:45:11
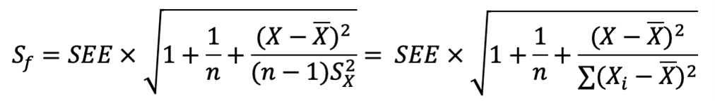
你好,课后题对这个知识点只是起到一个练习作用,不用担心,sf的计算在考纲中并不要求,不需要背诵公式。
但是关于它的性质我们需要了解,根据下图公式我们可以看出:在样本数量n很大的时候,sf是会趋近于SEE的,所以两者是可以近似替代。
如果我的回答有帮助到你的话,请点赞支持一下我们,加油哦;)
- 评论(0)
- 追问(0)
评论
0/1000
追答
0/1000
+上传图片


