王同学2022-03-24 21:12:38
请问原版书后reading24的14题的B,FCFE应该怎样算?
回答(1)
最佳
开开2022-03-25 16:32:09
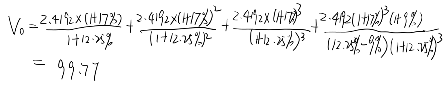
QB:让我用两阶段FCFE模型计算M的每股价值。
根据题干,
M贝塔系数是1.25, 国债收益率为6%,ERP为5%。因此re = 6%+1.25*5%=12.25%
根据表3
NI = $37,450.
Dep = $10,500.
根据表5
FCINV = Purchase of property, plant, and equipment= $15,000.
WCINV= Net change in working capital = $5,500.
Net borrowing= Change in debt outstanding = $4,000
FCFEo = NI + Dep - FCINV - WCINV +NB= $37,450 + $10,500 -$15,000 -$5,500 + $4,000=$31,450.
每股FCFEo= $31,450/13,000=$2.4192.
根据二阶段模型假设M的FCFE预计未来三年每年增长17%,之后稳定在9%,计算过程如下:
- 评论(0)
- 追问(0)
评论
0/1000
追答
0/1000
+上传图片


