阿同学2022-03-20 15:20:52
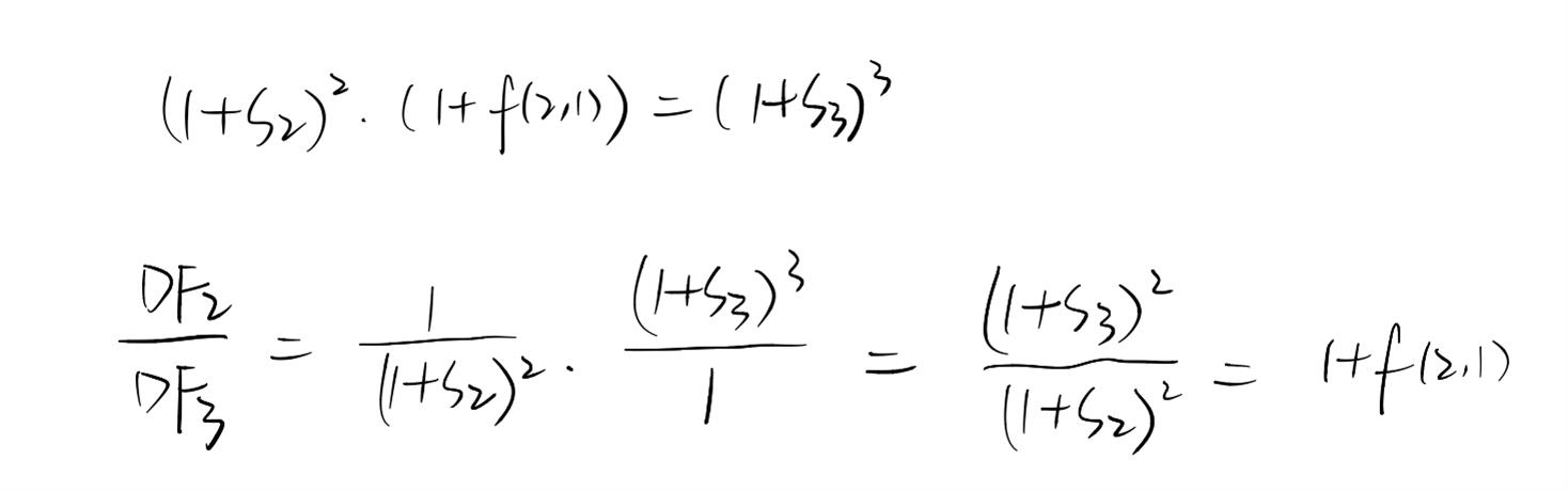
想问下中文p547 远期利率为什么是那样算的?可以推倒一下吗?我自己写了一个公式在第二张图旁边,他们连次方幂都不同,有点迷惑
回答(1)
最佳
Essie2022-03-20 18:15:07
你好,其实你铅笔写在旁边的式子已经almost得到结果了,见下图。
- 评论(0)
- 追问(0)
评论
0/1000
追答
0/1000
+上传图片



