许同学2022-01-07 15:38:27
老师您好,请问这里的算式公式是怎么来的?我对这个知识点没印象了
回答(1)
Essie2022-01-07 16:12:59
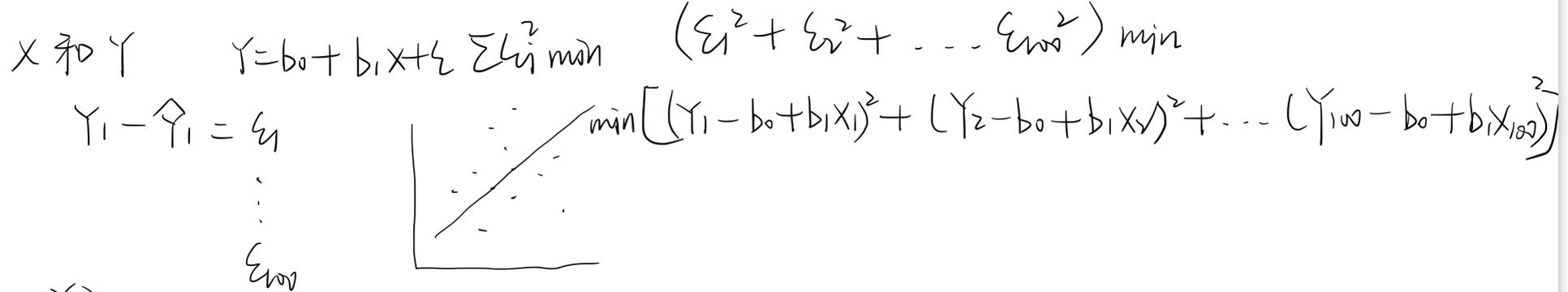
你好,b1的公式是通过最小二乘法求导得来的,推导过程不需要掌握,记住结论即可。下面简单说一下思路:假设有个散点图,和一条通过散点图拟合出来的回归直线。想要直线拟合的最好,即最小化残差,那么就可以得到下图右边最长的式子,对该式求最小值,即可以得到一个关于b1的表达式,b1=x和y的协方差/x的方差。
如果我的回答有帮助到你的话,请点赞支持一下我们,加油哦;)
- 评论(0)
- 追问(2)
- 追问
-
谢谢老师,前面的我理解了,但是后面怎么从这个右边最长的式子求最小值后面即可得出b1=x和y的协方差/x的方差,这里不太懂。以及又怎么从b1=x和y的协方差/x的方差推出 E(Xi- X均值)(Yi-Y均值)这个式子的?这两个步骤有点不太了解
- 追答
-
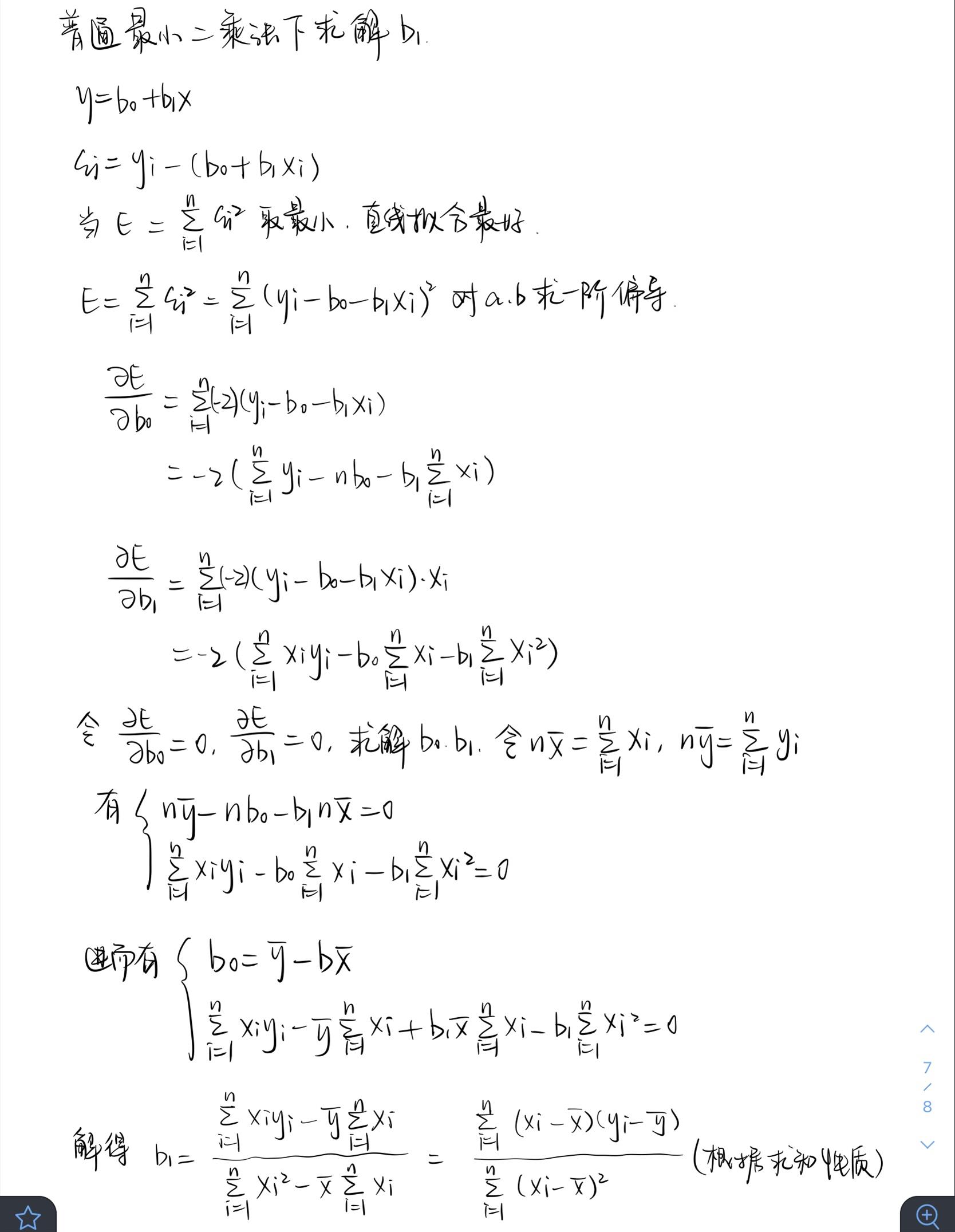
你好,该公式推导过程较复杂,见下图。不用担心,推导过程不在考纲的范围内,二级数量分析中很多类似的公式推导在原版书中都没有提及,我们只要知道最终的结论并能加以运用就好了。
XY的协方差=E(Xi- X均值)(Yi-Y均值)不是通过推导得到的,是通过协方差的定义得到的,协方差刻画的是两个变量之间的相关程度。背后原理就是如果两个变量偏离平均数的程度越一致,这个数值就会越大,偏离方向相反的话,该数值就会成负数。或者可以从方差的角度去理解,方差描述的是样本偏离均值的程度。方差是协方差的一个特例,当样本从一维变成二维,描述的是两组样本各自偏离均值的程度,按照方差的公式,就变成了E(Xi- X均值)(Yi-Y均值)。
评论
0/1000
追答
0/1000
+上传图片



