NICK2021-12-22 15:39:34
老师,在展开b1过程中,为啥这里的分子分母的自由度就是n-1呢?
回答(1)
最佳
Essie2021-12-22 16:19:58
你好,可以附张图片吗?
- 评论(0)
- 追问(2)
- 追问
-
老师 就是蓝框里这个
- 追答
-
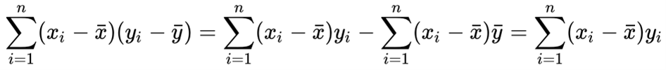
你好,自由度是取值不受限制的变量个数,分母部分实际计算的是x方差,自由度是n-1,因为限制了x的均值。分子部分是x和y的协方差,具体的公式化简见下图,因为y的均值是个常数,而xi-x bar是x到均值的偏离程度,加总是等于0的,y*0等于0,所以得到等号最右边的式子,还是只限制了x的均值,所以自由度也是n-1。
评论
0/1000
追答
0/1000
+上传图片


