188****93182021-12-18 15:01:18
这道题不明白 麻烦仔细讲解一下 谢谢老师
回答(1)
Essie2021-12-20 10:50:02
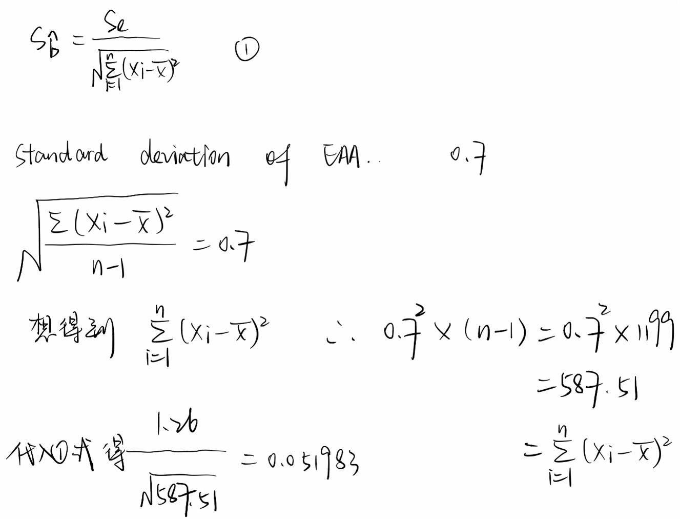
你好,首先这道题问我们的是在5%的显著性水平下,斜率是否显著的不等于0和1。t=b1- 0or1/sb1,这里的难点就在于没有给出sb1,然后它上面的几步实际都是在计算sb1。sb的公式是下图的1式,这个考纲里并不需要我们掌握,所以可能之前没见过。se是已知的,sb是要计算的目标,所以关键我们要找到根号下(X-Xi)的平方加总。通过题目中给出的EAA的标准差,我们先平方在乘以n-1,就可以得到目标(X-Xi)的平方加总,再把这个带回1式中得到sb。最后就是简单的计算t检验统计量,把已知的数字代入公式t=b1- 0or1/sb1求得,这一步肯定就没有问题啦。
如果我的回答有帮助到你的话,请点赞支持一下我们,加油哦;)
- 评论(0)
- 追问(2)
- 追问
-
好的 感谢老师。想问一下 原版书上像这种例题要求掌握嘛?
- 追答
-
你好,这样考的概率极低,因为计算标准误的公式在考纲里是不需要掌握的,但是这个解题思想是可以了解下的,方便深入理解这几个指标间的关系,再做其他题目相当于是降维打击了嘛。
评论
0/1000
追答
0/1000
+上传图片



