Kapo2021-12-15 22:50:51
老师,Reading39,课后题11答案是不是错的啊?怎么算都算不出最后那个啊?算的是0.0004
回答(1)
最佳
Jason Yin2021-12-16 17:18:47
你说的Rac吗,这个是正确的哦,你可以按老师的思路算
- 评论(2)
- 追问(2)
- 追问
-
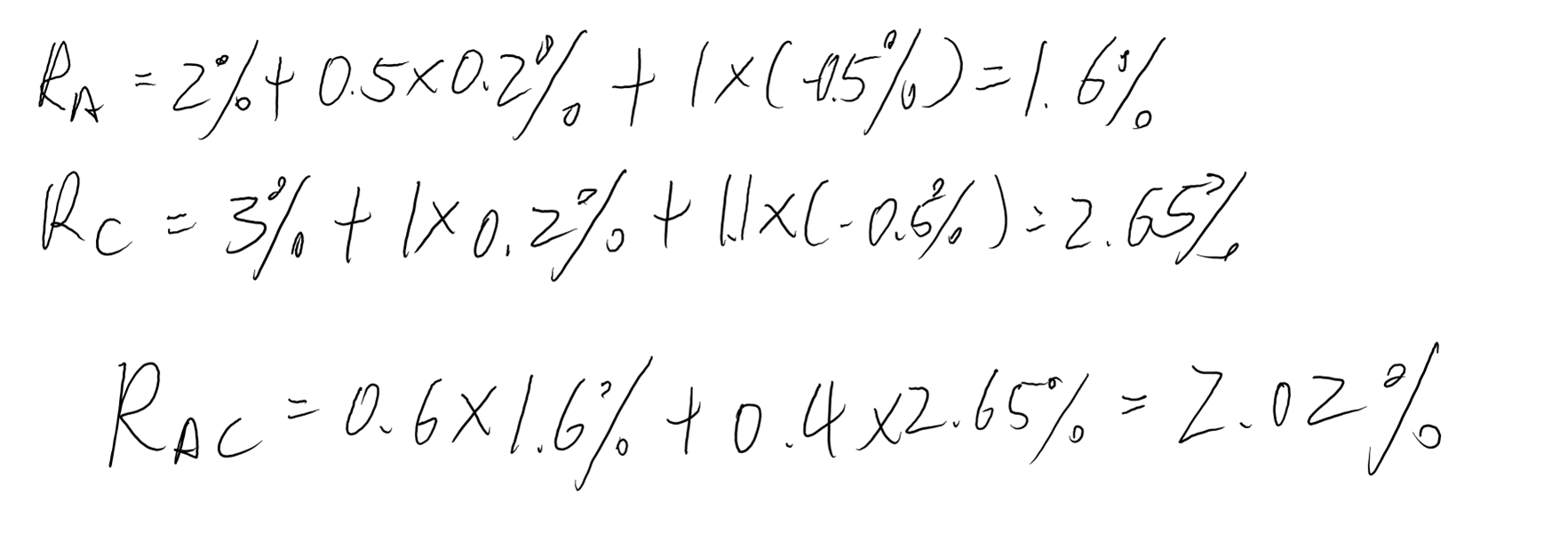
就是答案这条公式,我写在旁边,怎么算都出不来2.02%啊
- 追问
-
哎呀,再算了第“八百遍”之后终于发现原来是算错了0.4*1.1等于4.4!!!怎么办,经常犯这种睁眼瞎有没有得治啊!
评论
0/1000
追答
0/1000
+上传图片



