王同学2021-12-11 22:18:15
请问原版书的32和33题分别是怎样计算的?题目中给的表格中的t值,似乎没有用?
回答(1)
最佳
Essie2021-12-13 10:33:43
你好,表格中的t关键值是有用的。
Q32 B选项中我们要检验斜率是否显著的等于1,所以计算t检验统计量=0.983-1/0.0155=-1.09677。t统计量的绝对值小于t关键值2.002,所以不能拒绝原假设,得到斜率不为1;C选项中我们需要检验截距是否显著的等于0,所以计算t检验统计量=0.0001-0/0.0002=0.5,同样也是小于t关键值2.002,所以不能拒绝原假设,得到截距不为0。从B和C选中得出的这种结论,也就是截距不为0,斜率不为1的情况,此时我们称自变量对应变量的预测是无偏的。
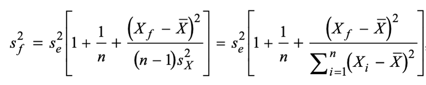
Q33 对于因变量actual CPI的置信区间的预测,首先我们需要先计算Y的预测值,然后再计算Y的置信区间。Y=0.001+(0.983*2.8)=2.7525,然后计算sf(因变量的标准误),这个公式很长很复杂,考纲中并不需要通过这个公式掌握计算,但是我们可以直接可以带入数字在公式中求出,sf=0.0009,计算Y的置信区间,Yhat +/- tcv. *sf,2.7525+/-2*0.0009 = 2.7506-2.7544.
如果我的回答有帮助到你的话,请点赞支持一下我们,加油哦;)
- 评论(0)
- 追问(1)
- 追问
-
那么表格中的t统计值0.5000和63.4195是啥呢?有什么用呢?
评论
0/1000
追答
0/1000
+上传图片


