王同学2021-12-07 21:55:41
老师,请问在uncovered IRP这里,从return相等推出假设前提是有足够风险中性投资者,return相等是从哪得来的?
回答(1)
Essie2021-12-08 10:14:31
你好,UIRP成立就代表,投资本国的收益;和将本币转换成外币,投资外国,然后将外币换回本币的收益是一样的,也就是这两个方式return 相等,但是UIRP是没有远期合约对冲汇率风险的,所以实际上投资国外多承担了汇率风险,如果我们还认为两种方式的收益应该相等,就证明投资者承不在意汇率风险,不需要额外的补偿,就是风险中性了。
如果我的回答有帮助到你的话,请点赞支持一下我们,加油哦;)
- 评论(0)
- 追问(2)
- 追问
-
为什么UIRP成立就代表投本国和投外国的return相等?
- 追答
-
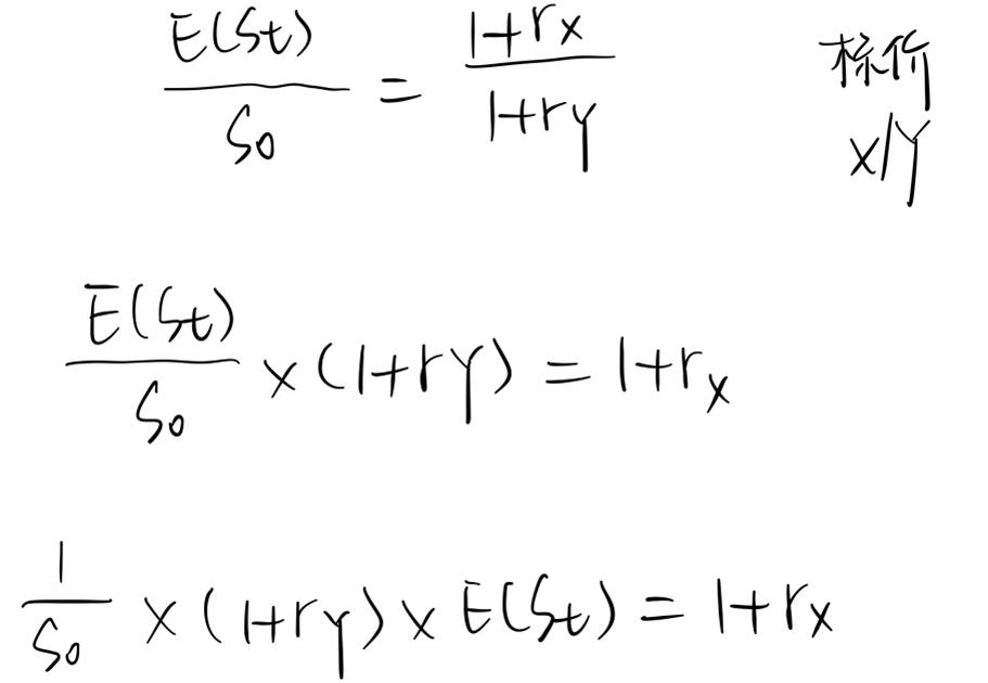
你好,这是根据UIRP理论可以直接得到的结论,可以参考下图。假设投资者是X国人,货币标价为X/Y,如果UIRP hold,那么投资本国和将X换成Y,去Y国投资后最后再换回X货币(第三行等式),这两种方式得到的return是一样的,并且和UIRP也是一样的(第一,二行)。
评论
0/1000
追答
0/1000
+上传图片


