12021-11-11 10:17:59
之所以不是负相关 是因为 price retrun F1-F0 中不只是收到S0还有其他影响因素对么 所以不绝对?比如rf div等
回答(1)
Essie2021-11-11 17:58:03
你好,
price return说的是当前的期货价格和上月合约的价格,公式为:(当前的价格 — 一个月前的价格)/一个月前的价格,比如说五月做多了大豆期货,现在6月,所以就是P6-P5/P5,看price return是正是负取决于P5和P6,也就是一个月前的价格和当前的价格。
roll return说的是期货的展期收益,也就是当前合约到期以后,需要续签下一个月的合约,这个操作中的收益或成本。公式为:近月合约-远月合约/近月合约,这里的近月就是6月,远月合约可以看作是7月的价格。所以roll return的正负取决于期货价格的曲线是contango还是backwardation。
所以说roll return和price return没有特定的相关度,因为影响他俩的原因本来就不一样。
如果我的回答有帮助到你的话,请点赞支持一下我们,加油;)
- 评论(2)
- 追问(9)
- 追问
-
入图
- 追答
-
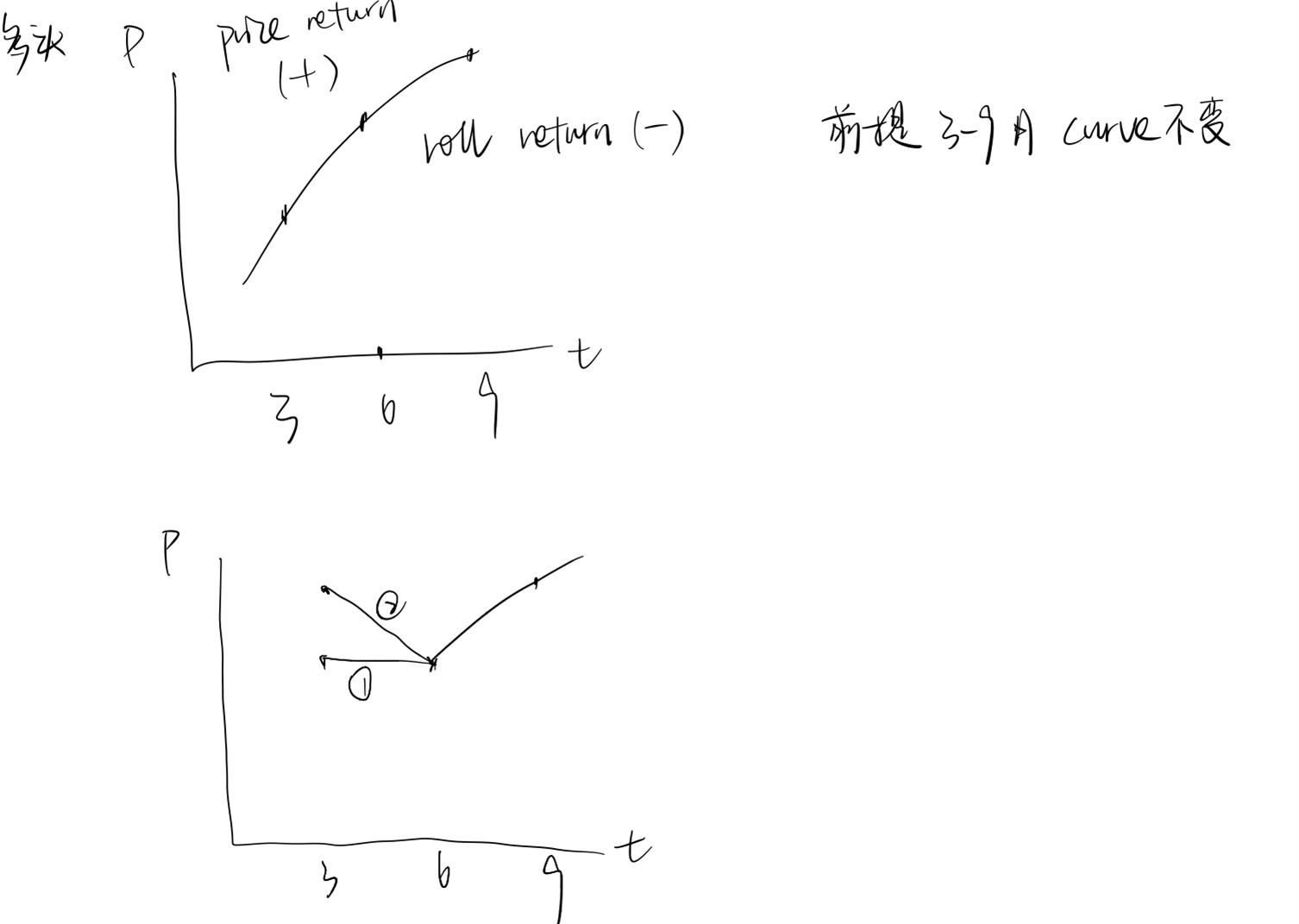
你好,你说的这种情况也对,但是前提就是这条期货价格曲线从过去到现在再到展期后的未来,形状没有发生任何变化,你作为多头方,期货价格曲线一直呈现升水的状态,那么price return是正的,roll return是负的,呈现了负相关。
但是如果没有一个前提说期货价格曲线的形状不变,那么就要看过去到现在是什么样的,现在到展期又是什么样的,因此没有前提的情况下,我们一般不会强调price return和roll return会有什么明显的关系。
这两者的关系取决于1.投资者是空头还是多头;2.如果期货价格曲线在一段时间内的形状保持不变,那么呈现贴水还是升水,有了这俩前提才好说。
- 追问
-
之前不是说 price curve期货曲线不变 现货价值不变 price return是0么怎么又和roll return负相关了呢 对于您说的加上那个前提
- 追问
-
price curve不变 price retrun是0还是正呢到底
- 追答
-
你好,如果只是说期货价格曲线不变,那么price return为0;
这里说的是期货的价格曲线的形状不变,你说的他俩一定成反比是下面第一张图的形状。假设过去是3月,现在6月,未来展期到9月,那么就需要3-6这段时间价格一直保持升水,只有这样才会得到成反比的结论。
但是很可能出现的情况就是3-6价格呈现贴水,6-9价格呈现升水,那么price return和roll return都可以是正的;或者说过去3-6月价格没有发生变化,price return为0,但6-9期货呈现升水,price return为负。
所以说price和roll return之间关系前,一定要明确期货价格曲线的形状及其变化。
- 追问
-
如果第二个图的情况 所有retrun都是负的吧?您说都是正的?
- 追答
-
对的对的,3-6价格贴水,6-9价格升水,price return和roll return都是负的,打太快了...sorry,你理解了就好呀,加油
- 追问
-
最后一句应该roll return为负吧 6-9 上升
- 追答
-
你好,对呀~6-9价格呈现升水,roll return是负的
评论
0/1000
追答
0/1000
+上传图片




