time2021-11-07 19:48:45
房地产估值的公式是什么呢,
回答(1)
Essie2021-11-08 15:47:06
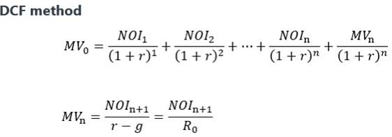
同学你好,我们在二级另类中学了好几种对房地产估值的方法,下面就是两种利用NOI来计算房地产价值的公式。
如果不懂的话,可以直接告诉我题目,希望能帮助你的理解
- 评论(0)
- 追问(0)
评论
0/1000
追答
0/1000
+上传图片



