杨同学2021-10-13 23:43:04
TSS=RSS+SSE这个是怎么求出来的,好比说Y=175,Ycap=173,Ybar=170,那么TSS是不是就应该是(175-170)的平方=25,SSE是(175-173)的平方=4,RSS是(173-170)的平方=9,相加怎么会相等呢?
回答(1)
Essie2021-10-14 10:02:53
你好,TSS,RSS,SSE这些都是两个数字相减平方的总和。举例RSS,它是所有的(预测值Y-均值Y)的平方再加总,不能像你这样只是用一组数据举例哦。
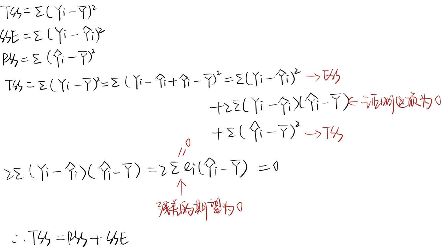
公式推导见下图,推导不要求掌握,原版书中只需要考生会运用结论即可,加油~
- 评论(0)
- 追问(2)
- 追问
-
请问图中红字“残差的期望值为0”这个意思是说,因为线性回归方程的4个假设中的homoskedasticity这个假设,所以残差的期望为0,所以公式里ei=0,我的理解对吗
- 追答
-
你好,是我用红色方框圈出来的那一条,同方差性说的是残差的方差相同。
评论
0/1000
追答
0/1000
+上传图片


