用同学2021-09-17 22:10:16
TSS不应该等于RSS和ess之和吧?在平方之前成立,但这是平方之后的,就不等于和了吧?
回答(1)
Essie2021-09-18 15:45:55
你好,我们关注的是预测值、真实值、以及均值它们三者之间的距离关系,老师这个图上画的y的真实值是在均值以及回归直线的上方,但是也存在真实值是在均值及回归直线下方的情况,有负数就不太好呈现,所以这里展现为平方和的形式能确保各部分都是正数,TSS是等于RSS+ESS的,这个没有问题。加油~
- 评论(0)
- 追问(2)
- 追问
-
预测值、真实值、以及均值的相对位置不管如何不同,距离相加之和的关系成立,但是每个距离平方之后再相加就不相同了,比如1+2=3,但是1^2+2^2=5,而3^2=9。而SST、 RSS、SSE都是平方后的值。
- 追答
-
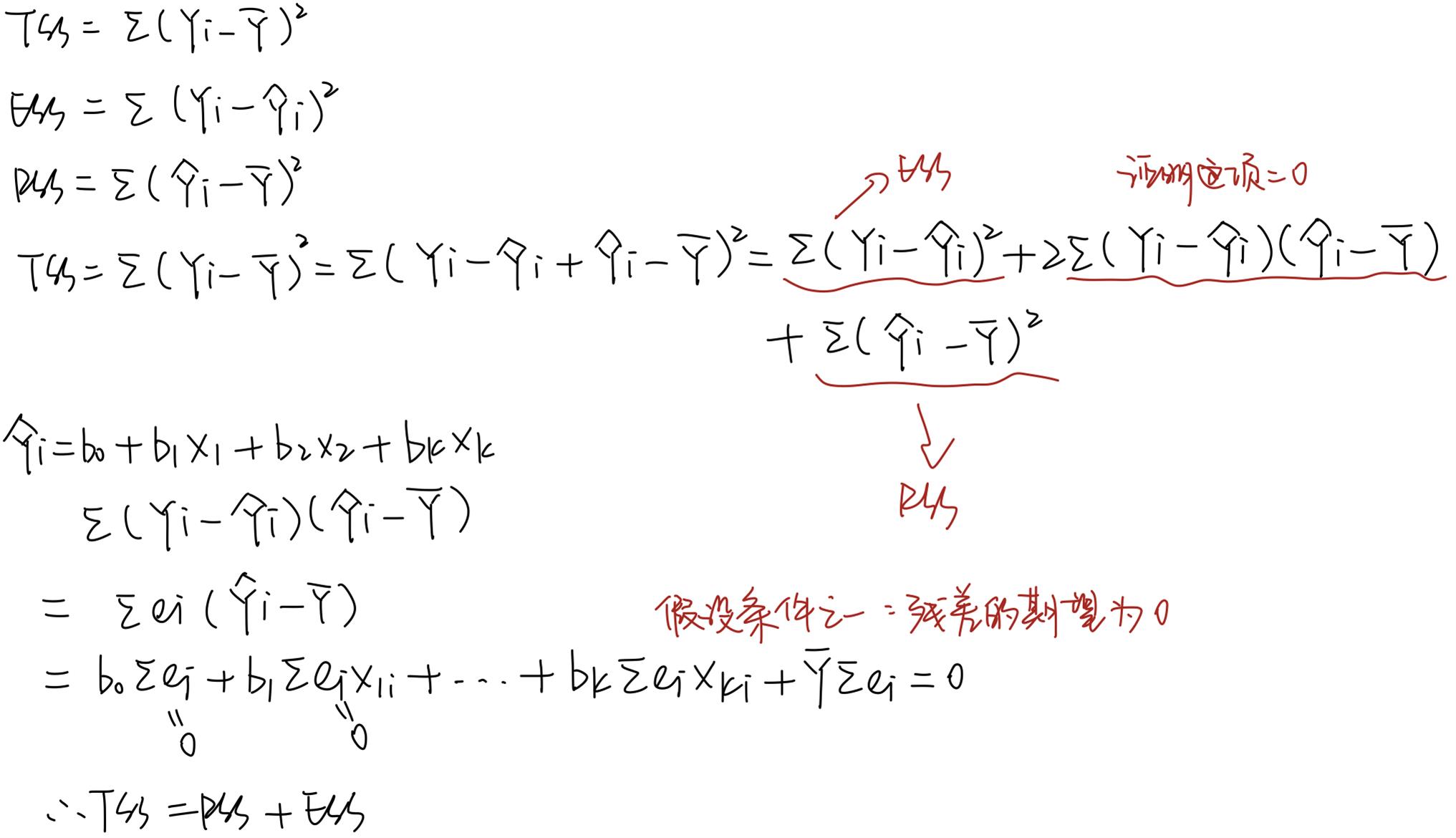
你好,下面图片上写了个证明过程,原版书中只给了最终的结论,证明过程不需要掌握
评论
0/1000
追答
0/1000
+上传图片



